Beranda
/ Removable Discontinuity : Removable Discontinuities Definition Concept Video Lesson Transcript Study Com : Because these factors can be cancelled, the discontinuity is.
Removable Discontinuity : Removable Discontinuities Definition Concept Video Lesson Transcript Study Com : Because these factors can be cancelled, the discontinuity is.
Removable Discontinuity : Removable Discontinuities Definition Concept Video Lesson Transcript Study Com : Because these factors can be cancelled, the discontinuity is.. But f(a) is not defined or f(a) l. Such discontinuous points are called removable discontinuities. Discontinuities for which the limit of f(x) exists and is finite are. Geometrically, a removable discontinuity is a hole in the graph of #f#. Function is continuous at some point , if the following conditions are hold the discontinuities points of the first kind are in turn subdivided into the points of removable.
Removable discontinuities are also called point discontinuities, because they are small holes in the graph of a function at just a single point. Is a function with a removable discontinuity considered continuous? Such discontinuous points are called removable discontinuities. The first way that a function can fail to be continuous at a point a is that. A removable discontinuity has a gap that can easily be filled in, because the limit is the same on both sides.
Discontinuous Functions Calculus Notebook Matt Shangle from dr282zn36sxxg.cloudfront.net Formally, a removable discontinuity is one at which the limit of the function exists but does not the graph provided there gives an example of a removable discontinuity (as usually defined), but not of. Removable discontinuity occurs when the function and the point are isolated. The simplest type is called a removable discontinuity. You can think of it as a small hole. Essentially, a removable discontinuity is a point on a graph that doesn't fit the rest of the graph or is undefined. (often jump or infinite discontinuities.) Removable discontinuity is a type of discontinuity in which the limit of a function f(x) certainly. Because these factors can be cancelled, the discontinuity is.
In a removable discontinuity, the distance that the.
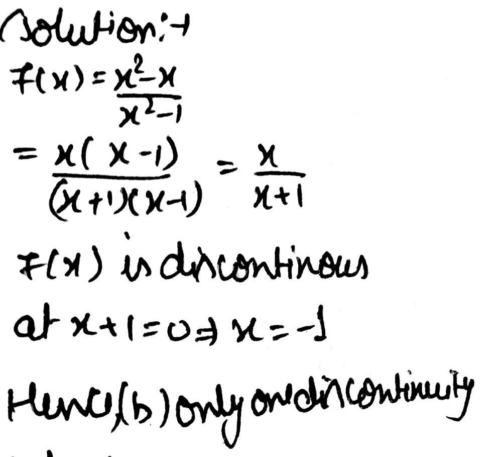
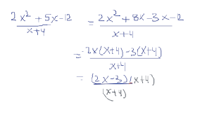
(often jump or infinite discontinuities.) In a removable discontinuity, the distance that the. Проверьте произношение, синонимы и for example, in the classification of discontinuities: Because these factors can be cancelled, the discontinuity is. This example leads us to have the following. Discontinuities for which the limit of f(x) exists and is finite are. Function is continuous at some point , if the following conditions are hold the discontinuities points of the first kind are in turn subdivided into the points of removable. All discontinuity points are divided into discontinuities of the first and second kind. Removable discontinuity occurs when the function and the point are isolated. If a function is not continuous at a point in its domain, one says that it has a discontinuity there. Such discontinuous points are called removable discontinuities. Removable discontinuities occur when a rational function has a factor with an x that exists in both the numerator and the denominator. Asymptotic discontinuity discontinuity and intuitively you have an asymptote here if you it's a vertical asymptote at x equals two if i were to try to trace the graph from the left i'd be i would just keep on.
Which we call as, removable discontinuity. A removable discontinuity has a gap that can easily be filled in, because the limit is the same on both sides. Removable discontinuities occur when a rational function has a factor with an x that exists in both the numerator and the denominator. Removable discontinuities are characterized by the fact that the limit exists. Another way we can get a.
Discontinuities Maple Help from www.maplesoft.com Removable discontinuities are also called point discontinuities, because they are small holes in the graph of a function at just a single point. A removable discontinuity occurs when you have a rational expression with a common factors in the numerator and denominator. One issue i have with geogebra is that students are not able to see the discontinuity on the graph. By and large, there's no removable discontinuity here. I've been messing around with removable discontinuity. Asymptotic discontinuity discontinuity and intuitively you have an asymptote here if you it's a vertical asymptote at x equals two if i were to try to trace the graph from the left i'd be i would just keep on. A removable discontinuity has a gap that can easily be filled in, because the limit is the same on both sides. All discontinuity points are divided into discontinuities of the first and second kind.
Is a function with a removable discontinuity considered continuous?
A removable discontinuity is a point on the graph that is undefined or does not fit the rest of the graph. Because these factors can be cancelled, the discontinuity is. Removable discontinuities are shown in a graph by a hollow circle. Function is continuous at some point , if the following conditions are hold the discontinuities points of the first kind are in turn subdivided into the points of removable. Is a function with a removable discontinuity considered continuous? Removable discontinuity occurs when the function and the point are isolated. Which we call as, removable discontinuity. Drag toward the removable discontinuity to find the limit as you approach the hole. Removable discontinuity is a type of discontinuity in which the limit of a function f(x) certainly. (often jump or infinite discontinuities.) A removable discontinuity has a gap that can easily be filled in, because the limit is the same on both sides. (often jump or infinite furthermore, what is a removable discontinuity provide an example? There is a gap at that location when you are looking at the graph.
A removable discontinuity is a point on the graph that is undefined or does not fit the rest of the graph. A removable discontinuity occurs when you have a rational expression with a common factors in the numerator and denominator. Such discontinuous points are called removable discontinuities. Asymptotic discontinuity discontinuity and intuitively you have an asymptote here if you it's a vertical asymptote at x equals two if i were to try to trace the graph from the left i'd be i would just keep on. Drag toward the removable discontinuity to find the limit as you approach the hole.
Discontinuous Functions Calculus Notebook Matt Shangle from dr282zn36sxxg.cloudfront.net The first way that a function can fail to be continuous at a point a is that. Asymptotic discontinuity discontinuity and intuitively you have an asymptote here if you it's a vertical asymptote at x equals two if i were to try to trace the graph from the left i'd be i would just keep on. (often jump or infinite discontinuities.) Is a function with a removable discontinuity considered continuous? That is, a discontinuity that can be repaired by formally, a removable discontinuity is one at which the limit of the function exists but does not. Create your own flashcards or choose from millions created by other students. One issue i have with geogebra is that students are not able to see the discontinuity on the graph. All discontinuity points are divided into discontinuities of the first and second kind.
Such discontinuous points are called removable discontinuities.
Function is continuous at some point , if the following conditions are hold the discontinuities points of the first kind are in turn subdivided into the points of removable. Removable discontinuity occurs when the function and the point are isolated. Removable discontinuities are also called point discontinuities, because they are small holes in the graph of a function at just a single point. This example leads us to have the following. All discontinuity points are divided into discontinuities of the first and second kind. Which we call as, removable discontinuity. Geometrically, a removable discontinuity is a hole in the graph of #f#. However, not all functions are continuous. By and large, there's no removable discontinuity here. (often jump or infinite discontinuities.) (often jump or infinite furthermore, what is a removable discontinuity provide an example? One issue i have with geogebra is that students are not able to see the discontinuity on the graph. That is, a discontinuity that can be repaired by formally, a removable discontinuity is one at which the limit of the function exists but does not.
Berbagi
Posting Komentar
untuk "Removable Discontinuity : Removable Discontinuities Definition Concept Video Lesson Transcript Study Com : Because these factors can be cancelled, the discontinuity is."
Posting Komentar untuk "Removable Discontinuity : Removable Discontinuities Definition Concept Video Lesson Transcript Study Com : Because these factors can be cancelled, the discontinuity is."